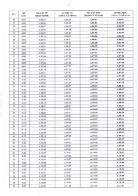
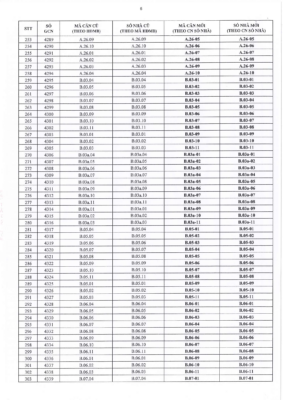
THÔNG BÁO VỀ VIỆC ĐIỀU CHỈNH MÃ CĂN HỘ TẠI DỰ ÁN CHUNG CƯ LÊ TRỌNG TẤN

Trang chủ

Tin tức

THÔNG BÁO VỀ VIỆC ĐIỀU CHỈNH MÃ CĂN HỘ TẠI DỰ ÁN CHUNG CƯ LÊ TRỌNG TẤN