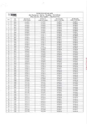
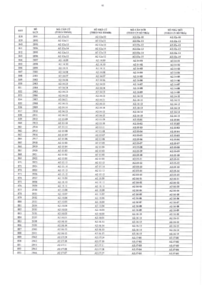
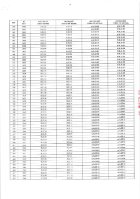
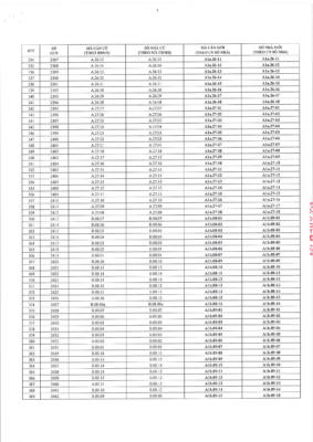
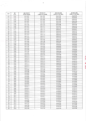
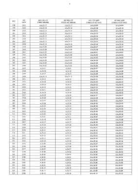
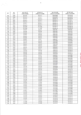
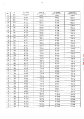
THÔNG BÁO VỀ VIỆC ĐIỀU CHỈNH MÃ CĂN HỘ TẠI THÁP GREEN EMERALD – THÁP GREEN SAPPHIRE – THÁP BCONS CITY TẠI DỰ ÁN BCONS CITY

Trang chủ

Tin tức

THÔNG BÁO VỀ VIỆC ĐIỀU CHỈNH MÃ CĂN HỘ TẠI THÁP GREEN EMERALD – THÁP GREEN SAPPHIRE – THÁP BCONS CITY TẠI DỰ ÁN BCONS CITY